广州体育学院2025年体育单招拟录取名单
发布日期:2025-05-24 浏览量:1615


(添加助理老师微信:YJJ5007,申请进群,第一时间查看拟录取名单)
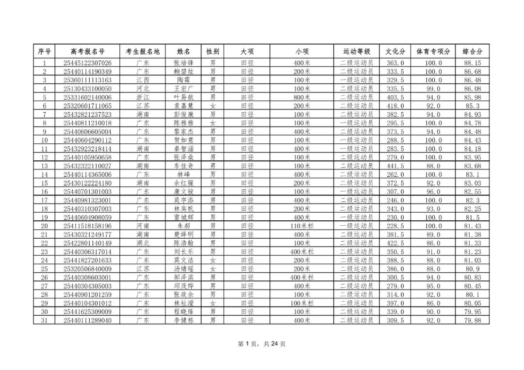
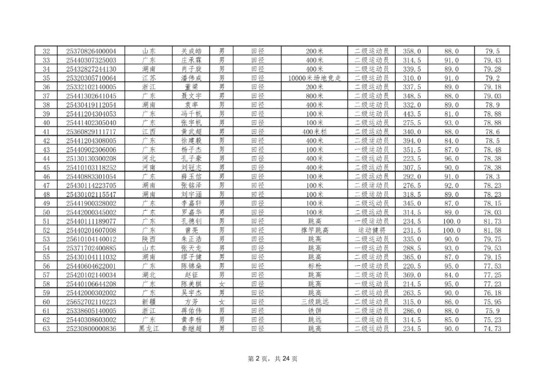
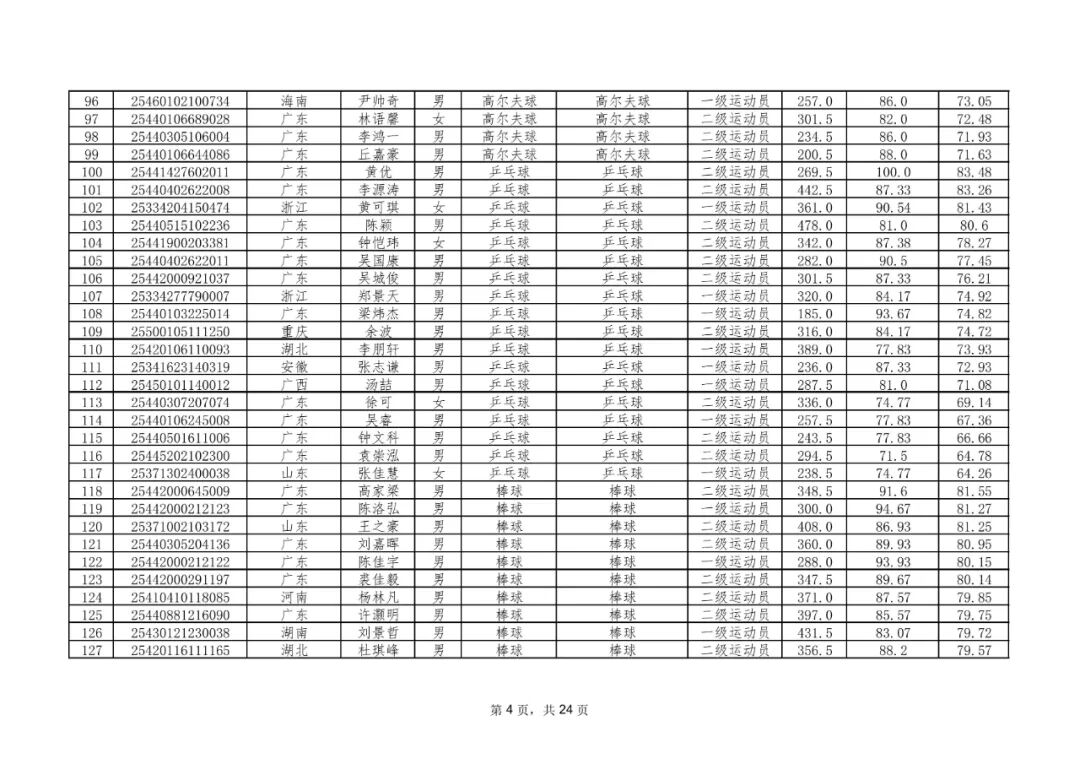
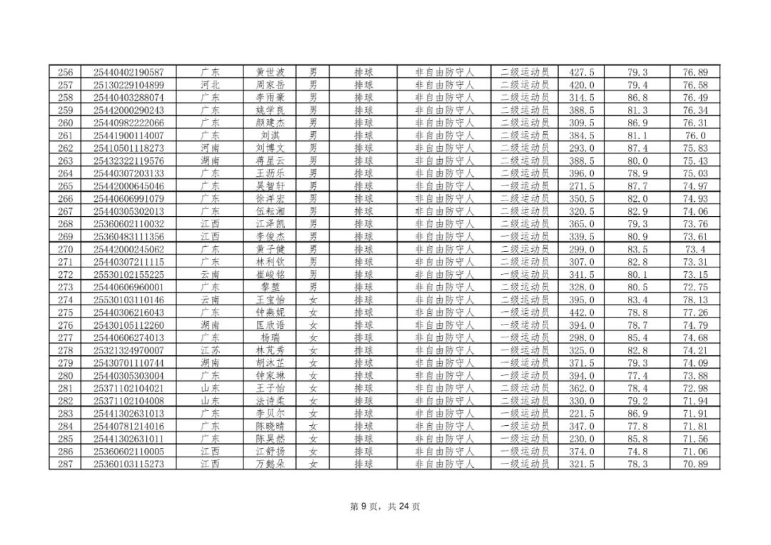
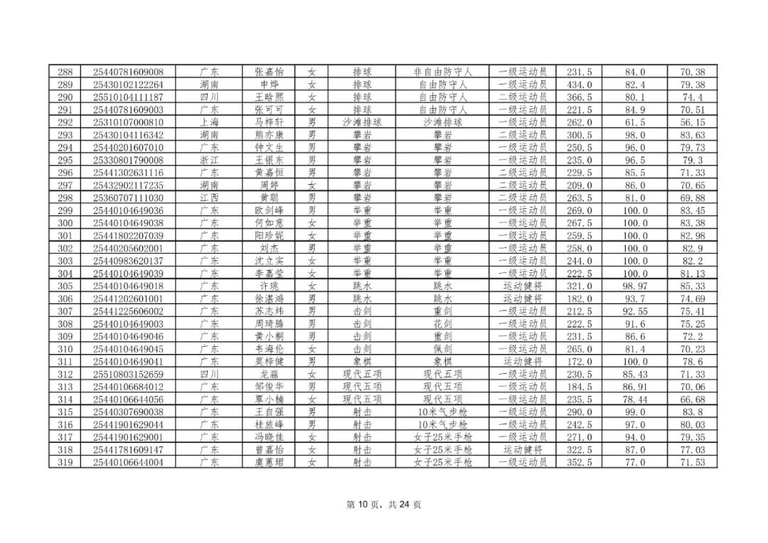
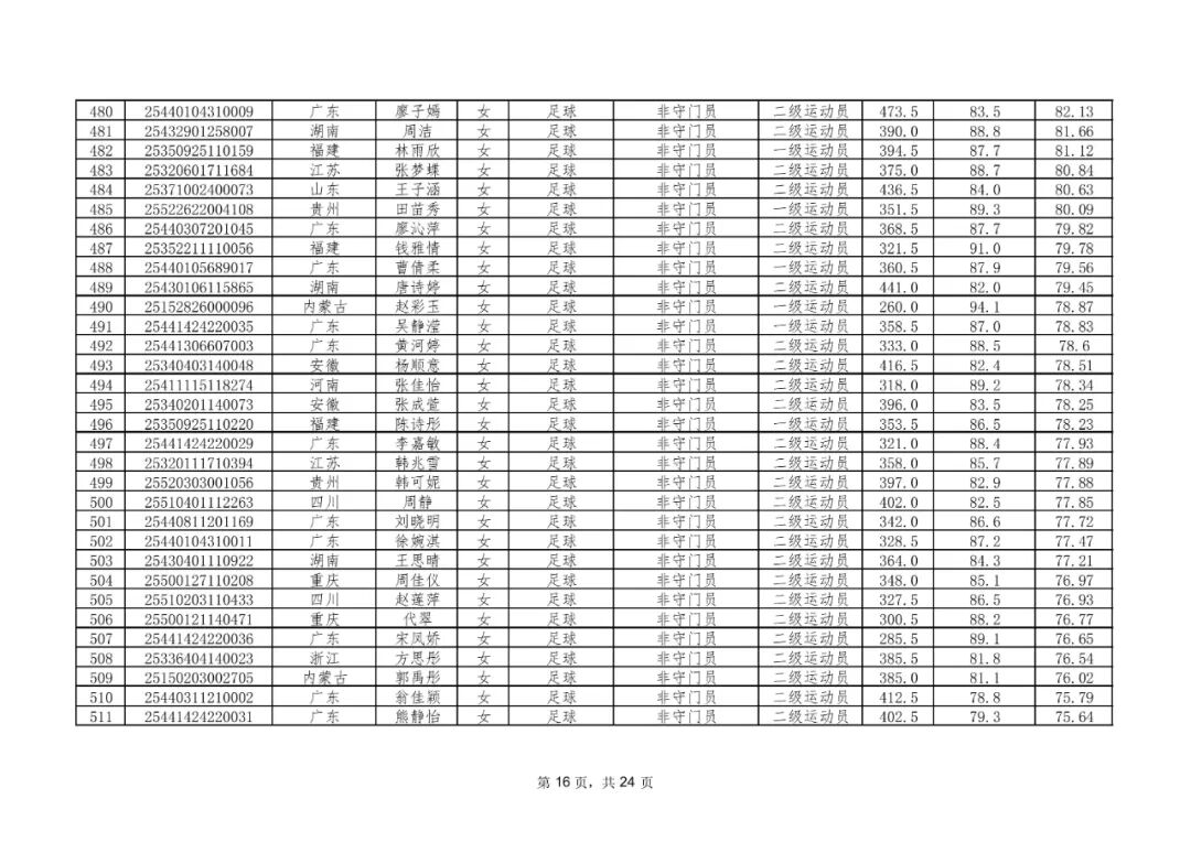
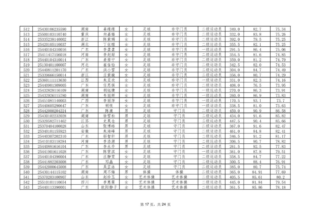
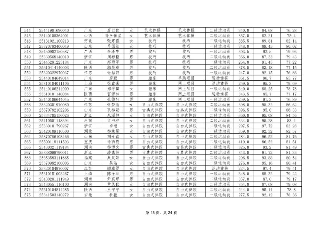
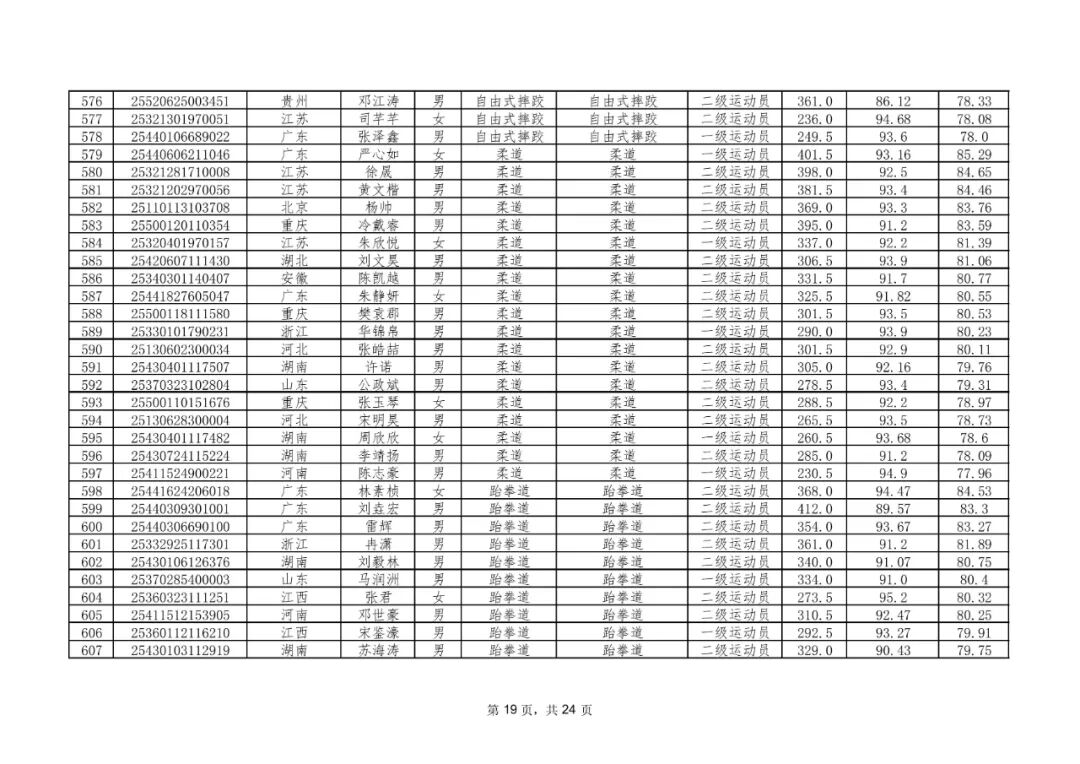
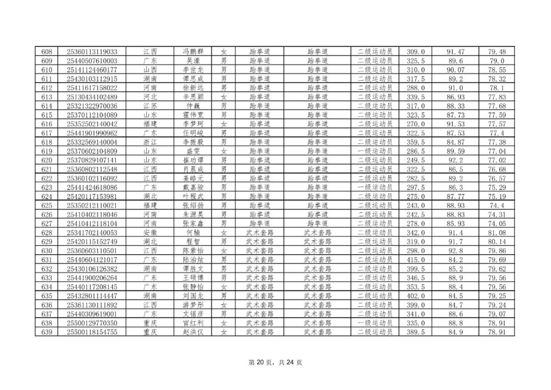
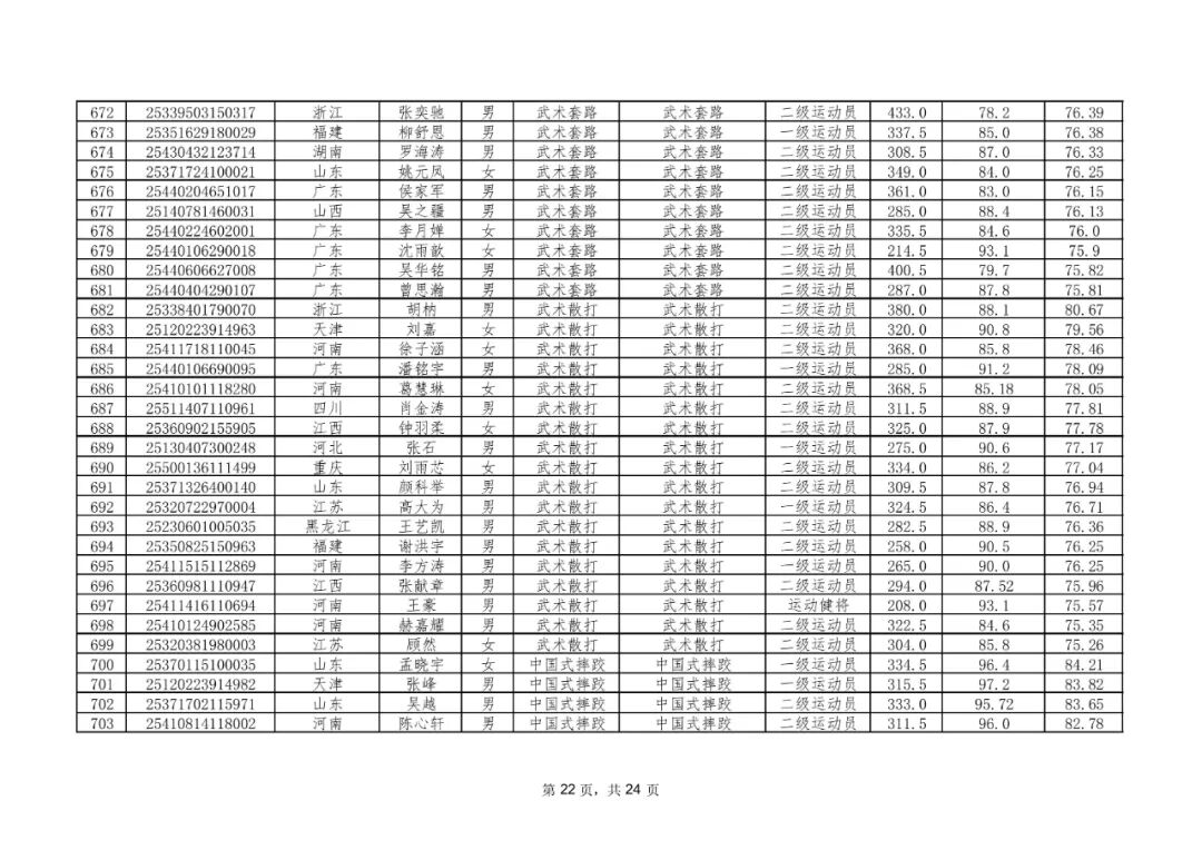
广州体育学院2025年体育单招拟录取名单公示(一志愿)
排版|Mr.X
来源|广州体育学院本科招生网
猜你喜欢:


跟着叶姐姐
体考不迷茫


发布日期:2025-05-24 浏览量:1615


(添加助理老师微信:YJJ5007,申请进群,第一时间查看拟录取名单)
广州体育学院2025年体育单招拟录取名单公示(一志愿)

























排版|Mr.X
来源|广州体育学院本科招生网
猜你喜欢:


跟着叶姐姐
体考不迷茫

