(添加助理老师微信:YJJ5007,申请进群,第一时间查看拟录取名单)
辽宁工程技术大学2025年运动训练专业拟录取一志愿考生名单公示
按照《体育总局办公厅 教育部办公厅关于印发<2025年普通高等学校运动训练、武术与民族传统体育专业招生管理办法>的通知》(体科字〔2024〕256号)及《辽宁工程技术大学2025年运动训练招生简章》相关规定,现将我校2025年运动训练专业拟录取一志愿考生名单予以公示,正式录取名单以教育部、国家体育总局及各生源地省级招生部门审核通过为准。
一、录取控制分数线
按照《辽宁工程技术大学2025年运动训练招生简章》中关于录取控制线的要求执行:
1.各项目文化成绩录取控制线为:180分。
2.体育专项成绩录取控制线
(1)手球项目90分。
(2)篮球、足球(十一人制)、田径等三个项目:40分。
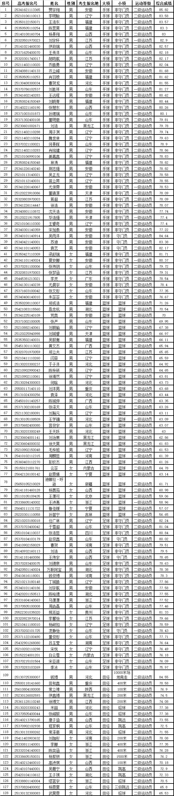
拟录取一志愿考生128名,现将拟录取名单予以公示,名单如下。

二、公示
公示时间为2025年5月22-28日。如有异议,请实名向我校招生就业处反映(电话:0418-5111111),并将反映情况以书面形式(扫描件)同步发送至邮箱lntuzs@126.com,逾期不予受理。
三、其他
1、录取后如发现考生弄虚作假,一经查实,取消其当年运动训练专业录取资格,已入学者,取消入学资格;并依据教育部、国家体育总局相关规定进行处理,触犯刑法者,由公安机关追究刑事责任。
2、新生入学后进行新生入学资格复查及专业复测,对于存在弄虚作假、舞弊或冒名顶替等行为的学生,按照教育部有关规定,取消其入学资格并不予学籍电子注册。
辽宁工程技术大学招生就业处
2025年5月22日
排版|Mr.X