山西大学2025年体育单招拟录取名单
发布日期:2025-05-23 浏览量:1794


(添加助理老师微信:YJJ5007,申请进群,第一时间查看拟录取名单)
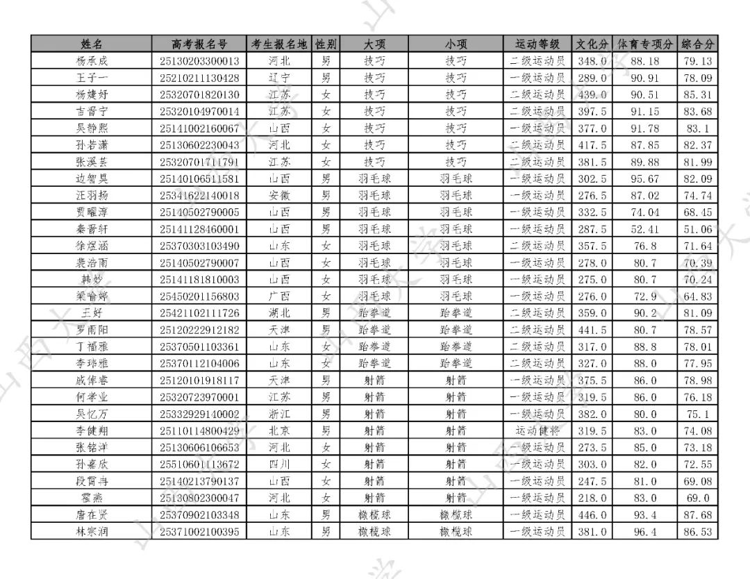
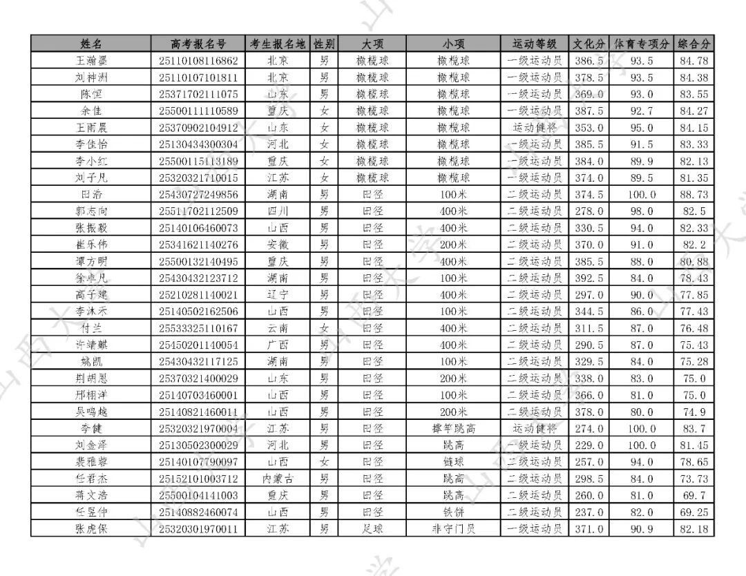
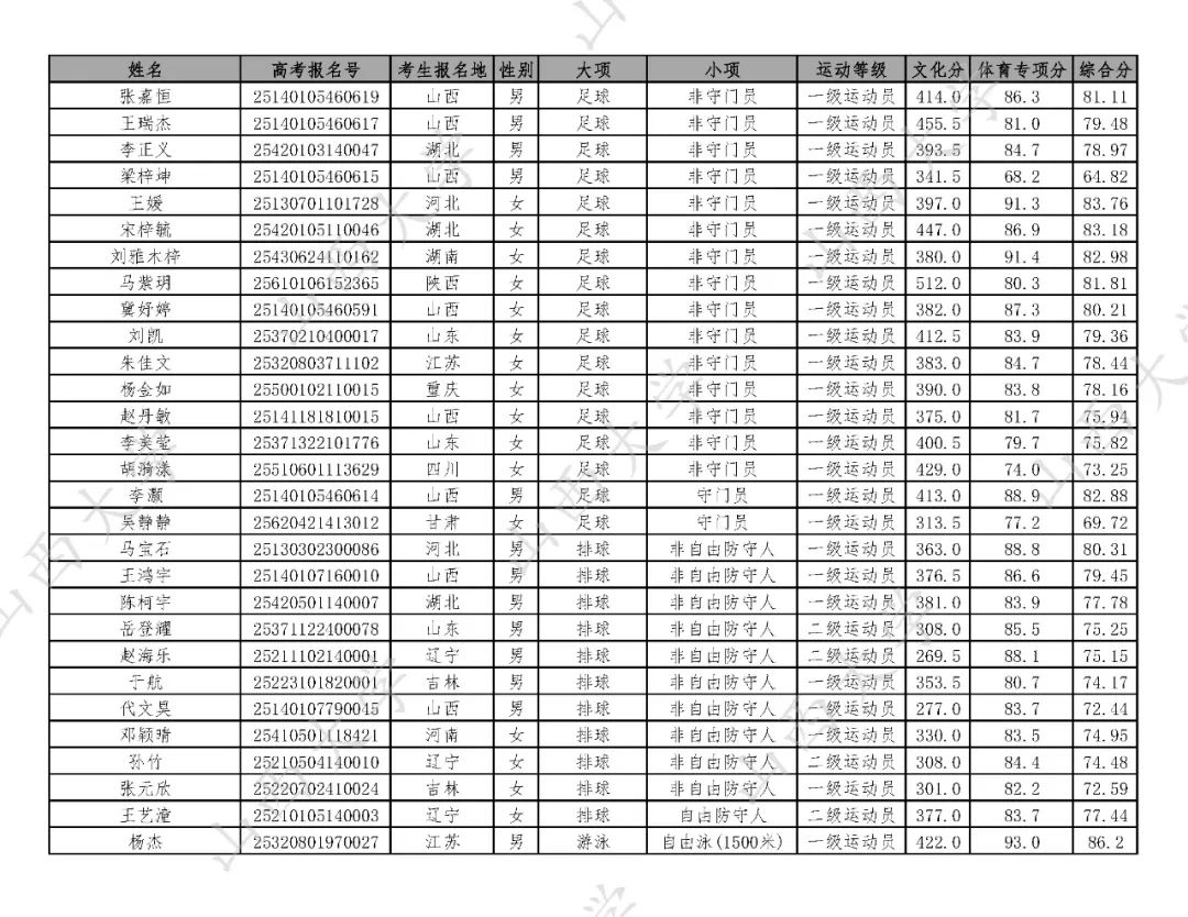
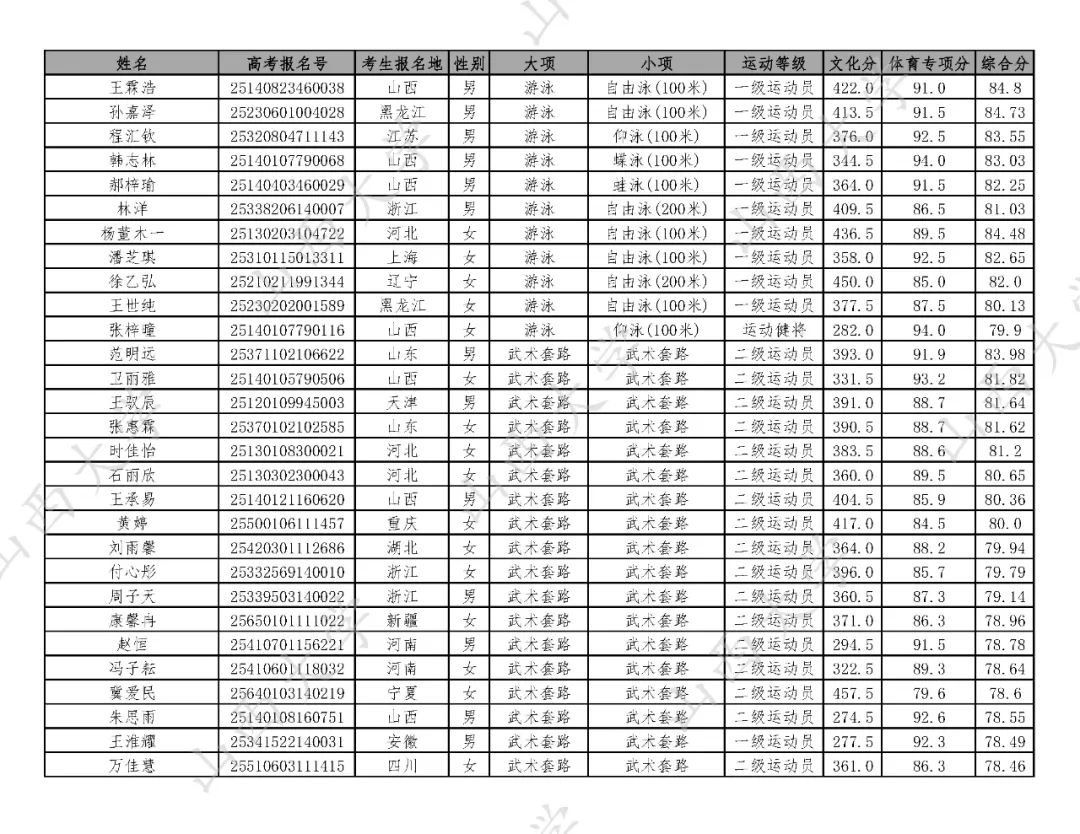
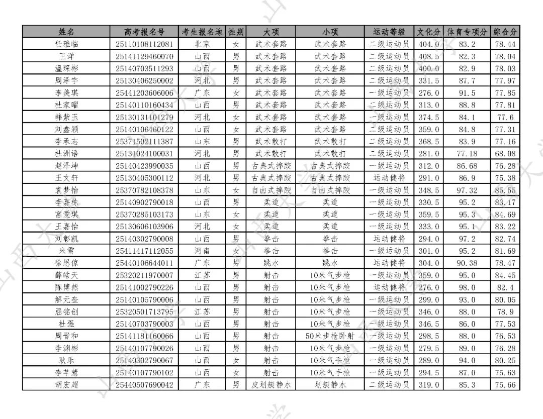
山西大学2025年运动训练、武术与民族传统体育专业拟录取名单公示(一志愿)
根据《2025年普通高等学校运动训练、武术与民族传统体育专业招生管理办法》及《山西大学2025年运动训练、武术与民族传统体育专业招生简章》的相关规定,我校在文化和体育专项成绩均达标的考生中,按照招生计划数,依据考生综合成绩从高到低确定拟录取名单,共录取一志愿考生216人。现予以公示(名单请查阅附件)。
公示期为自公示之日起5个工作日,如对录取名单有异议,可在公示期内向招生就业处反映。联系电话:0351-7018101。
2025年5月23日
山西大学2025年运动训练、武术与民族传统体育专业拟录取名单公示(一志愿)








排版|Mr.X
来源|山西大学本科招生网
猜你喜欢:


跟着叶姐姐
体考不迷茫

