陕西理工大学2025年体育单招拟录取名单
发布日期:2025-05-22 浏览量:1536


(添加助理老师微信:YJJ5007,申请进群,第一时间查看拟录取名单)
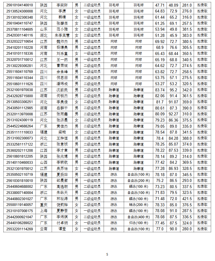
陕西理工大学 2025 年运动训练专业 拟录取结果公示






排版|Mr.X
来源|陕西理工大学本科招生信息网
猜你喜欢:


跟着叶姐姐
体考不迷茫


发布日期:2025-05-22 浏览量:1536


(添加助理老师微信:YJJ5007,申请进群,第一时间查看拟录取名单)
陕西理工大学 2025 年运动训练专业 拟录取结果公示






排版|Mr.X
来源|陕西理工大学本科招生信息网
猜你喜欢:


跟着叶姐姐
体考不迷茫

